Reveals that leaf economics is the central hub to link drought and heat tolerance
The combined stress of drought and high temperature is posing a growing threat to plants. Drought directly affects plants by breaking down the water transport system, and indirectly affects carbon assimilation process. Elevated temperatures can damage photosynthetic machinery and scorch leaves, which can impair carbon-dependent development of other organs. These physiological damages have been reported to finally cause the reduction of growth and productivity and even death. However, how plants coordinate growth and tolerance to cope with the multiple stresses in natural habitats remains poorly understood.
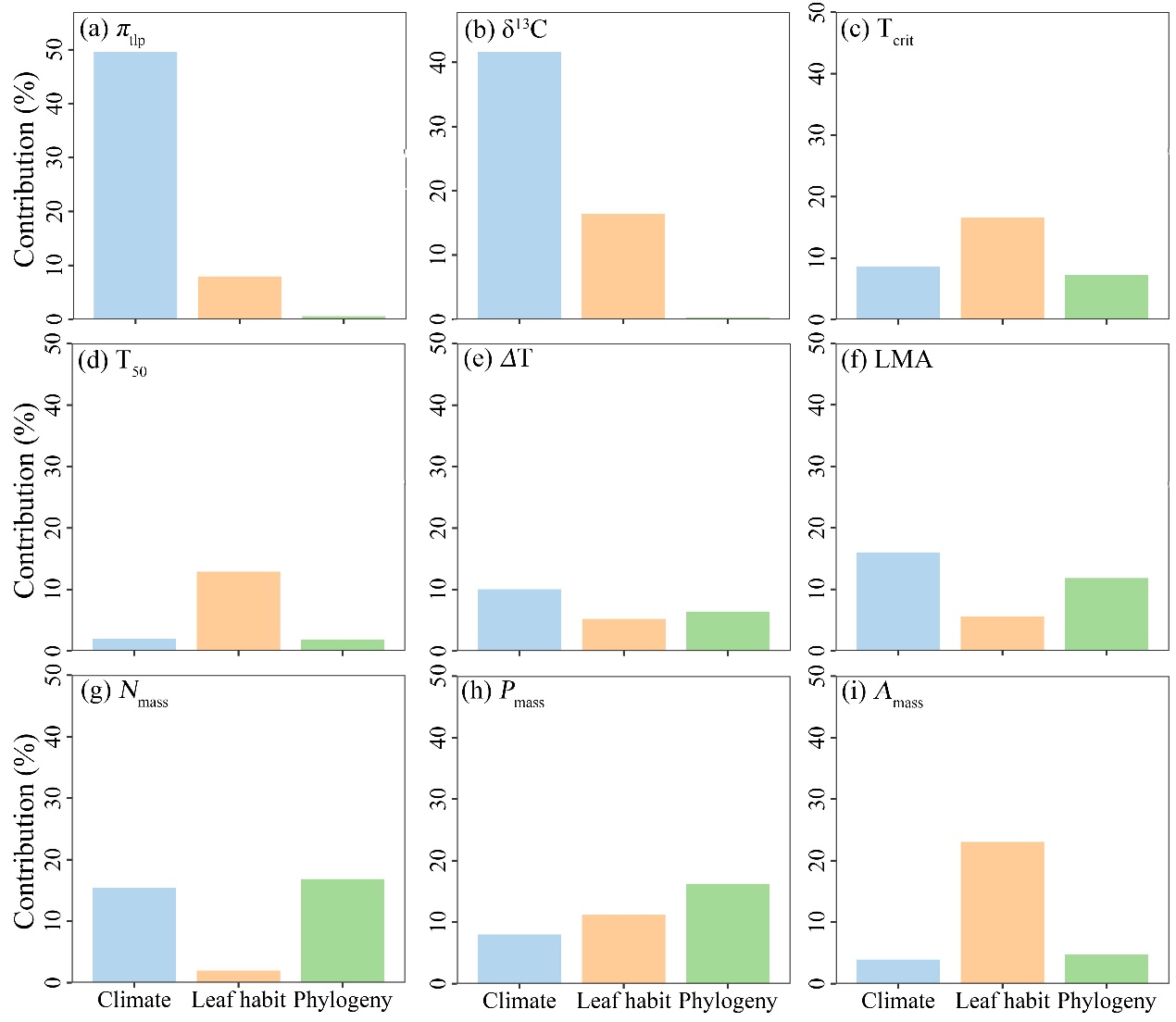
The restoration ecology research team from the South China Botanical Garden conducted a systematic study on 58 woody species from one dry-hot habitat dominated by deciduous species, and one wet-warm habitat dominated by evergreen species (Fig. 1). The research found that heat and drought tolerance were only weakly associated, while leaf economics was linked closely with heat and drought tolerance through maximum photosynthetic rate per mass and leaf mass per area, respectively. Leaf economic traits were associated more with drought tolerance within evergreen species, while they were linked more with heat tolerance within deciduous species (Fig. 2). Heat tolerance was primarily influenced by leaf habit, whereas drought tolerance and economics were affected by both leaf habit and habitat (Fig. 3).
This study highlights leaf economics as a central hub linking drought and heat tolerance, advancing this understanding of how growth and tolerance are bridged in plants, and providing key evidence that leaf economic traits have the potential to predict both drought and heat tolerance.
The research entitled “Leaf economic traits link drought and heat tolerance of woody species in two contrasting hydrothermal habitats” was recently published online in New Phytologist. PhD student WANG Yangsiding from South China Botanical Garden, Chinese Academy of Sciences, is the first author. Prof. LIU Hui is the corresponding author. The work was supported by the National Natural Science Foundation of China and other funding. Paper Link: https://doi.org/10.1111/nph.70841

Fig. 1. A conceptual framework describing how leaf carbon economics, drought and heat tolerance are coordinated through the divergence of leaf habits.(Image by WANG et al.)
Evergreen species with “slow” strategies rely on maintenance of greater levels of drought and heat tolerance versus deciduous species with “fast” strategies, which are less reliant on tolerance due to an enhanced ability to avoid stress. Thus, leaf tolerance may not be positively correlated with heat and/or drought stress, and the higher proportion of deciduous species may lead to lower levels of tolerance across species in stressful environments.

Fig. 2. The trait networks for (a) all species, (b) wet-warm species, (c) dry-hot species, (d) evergreen and (e) deciduous species.(Image by WANG et al.)
Positive and negative correlations are shown as red and black lines, respectively. Drought tolerance, heat tolerance, and leaf economic traits are labelled by blue, red, and grey circles, respectively. The width of lines represents the strength of the correlation. Abbreviations: leaf water potential at turgor loss point (πtlp); long-term water-use efficiency of leaf (13C); temperature at which potential photosystem II efficiency started to decrease (Tcrit); temperature at which potential photosystem II efficiency decreased by 50 % (T50); temperature range between Tcrit and T50 (ΔT); leaf mass per area (LMA); nitrogen concentration per leaf mass (Nmass); phosphorus concentration per leaf mass (Pmass); and maximum photosynthetic rate per leaf mass (Amass).
Fig. 3. Contribution of climate, leaf habit, and phylogeny to variation of key leaf traits based on phylogenetic generalized linear model.(Image by WANG et al.)
(a) leaf water potential at turgor loss point (πtlp); (b) long-term water-use efficiency of leaf (13C); (c) temperature at which potential photosystem II efficiency started to decrease (Tcrit); (d) temperature at which potential photosystem II efficiency decreased by 50 % (T50); (e) temperature range between Tcrit and T50 (ΔT); (f) leaf mass per area (LMA); (g) nitrogen concentration per leaf mass (Nmass); (h) phosphorus concentration per leaf mass (Pmass) and (i) maximum photosynthetic rate per leaf mass (Amass).